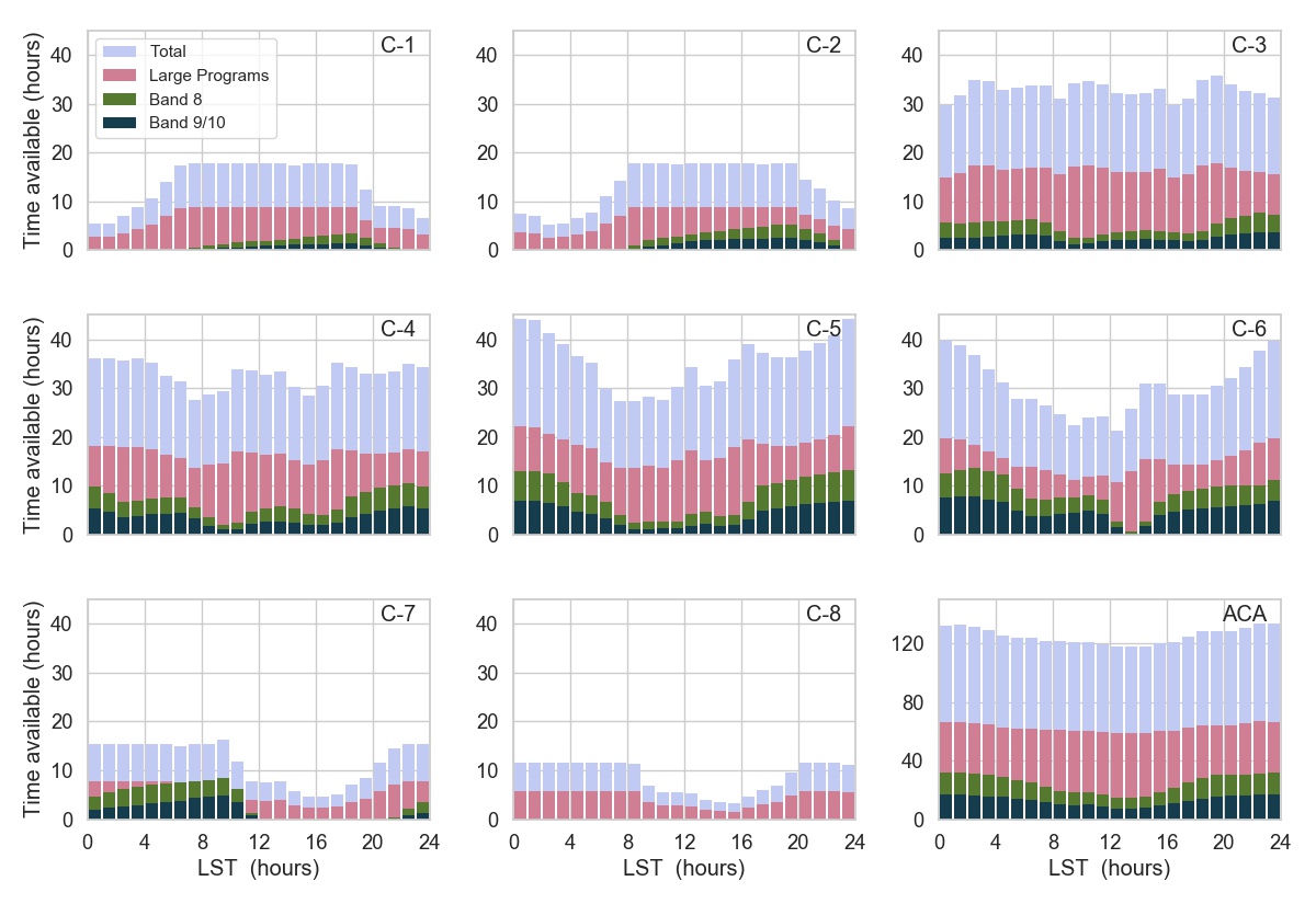
cycle-8-pressure https://almascience.nao.ac.jp/images/cycle-8-pressure/view https://almascience.nao.ac.jp/images/cycle-8-pressure/@@download/image/cycle-8-pressure cycle-8-pressure Click to view full-size image… Size: 223.5 KB