Additional Information for Cycle 5 Proposals
As indicated in the Cycle 5 Pre-announcement, this announcement provides further information on Cycle 5 proposals, including:
- Update on the availability of Band 5,
- Reclassification of 16 km baselines as a standard mode,
- Cycle 5 configuration schedule,
- Information for preparing Large Programs.
Complete details will be provided in the Call for Proposals, which will be released on the ALMA Science Portal on March 21, 2017.
1. Update on the availability of Band 5
Band 5 observations with the full complement of antennas are expected to begin on 2018 March 1. No Band 5 observations will be scheduled between 2017 October 1 and 2018 Feb 28. ALMA users are responsible for verifying that the requested angular resolution and the corresponding antenna configurations are available in the appropriate months, as the Observing Tool does not check these scheduling constraints.
2. Reclassification of 16km baselines as a standard mode
The longest baseline configuration, with maximum baselines of 16 km, will now be considered a standard mode for Cycle 5. This supersedes the Cycle 5 pre-announcement. The 16 km configuration is available for Bands 3, 4, 5 and 6.
3. Cycle 5 configuration schedule
Table 1 summarizes the anticipated configuration schedule for Cycle 5 that can be used to plan proposals. The table includes the start date of the configuration, the longest baseline, and the LST range with the best atmospheric stability, which is approximately from 2 hours after sunset to 4 hours after sunrise. The configuration schedule shown in Table 1 may be modified based on the Cycle 5 proposal pressure. The Cycle 5 antenna configuration files needed for CASA simulations are available on the Science Portal.
The Cycle 5 configuration schedule is optimized for high frequency observations. The amount of time suitable for observations in the ALMA receiver band depends on the atmospheric precipitable water vapor (PWV) and phase stability. The weather conditions exhibit both diurnal and annual variations, with the lowest average PWV and best atmospheric stability occurring at night between May and November. The compact configurations of the 12-m Array will be scheduled within this period to maximize the probability that high frequency programs can be successfully executed.
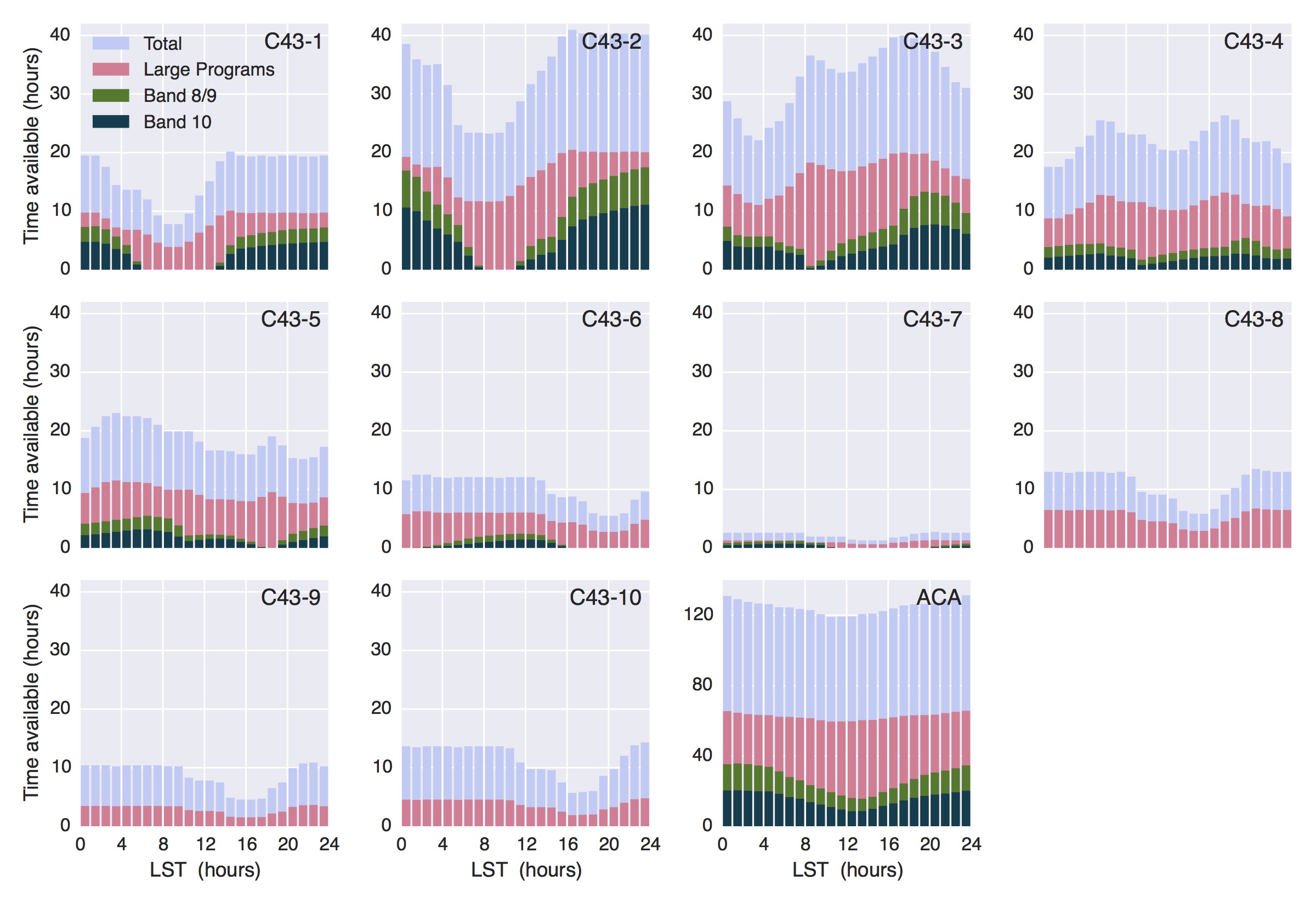
Figure 1 shows the percentage of days when the PWV is below the thresholds adopted for the various ALMA bands based on historical PWV measurements from the APEX weather station between 2007 and 2016. Figure 2 shows the expected amount of time available versus LST in the ALMA Cycle 5 configurations after factoring in scheduled maintenance and other observatory activities. The relatively small amount of time anticipated for C43-7 is because this configuration transitions from configuration C40-7 at the end of Cycle 4 to C43-8 at the beginning of Cycle 5.
Table 1: Cycle 5 Configuration Schedule
| Start date | Configuration | Longest baseline |
LST for best observing conditions |
| 2017 October 1 | C43-7 | 3.7 km | ~ 21h - 10h |
| 2017 October 5 | C43-8 | 6.8 km | ~ 22h - 11h |
| 2017 October 25 | C43-9 | 12.8 km | ~ 23h - 12h |
| 2017 November 10 | C43-10 | 16.5 km | ~ 1h - 13h |
| 2017 December 1-18 | No observations due to large antenna reconfiguration | ||
| 2017 December 19 | C43-6 | 1.8 km | ~ 4h - 15h |
| 2018 January 10 | C43-5 | 1.1 km | ~ 5h - 17h |
| 2018 February 1-28 | No observations due to February shutdown | ||
| 2018 March 1 | C43-4 | 0.7 km | ~ 8h - 21h |
| 2018 March 30 | C43-3 | 0.46 km | ~ 10h - 0h |
| 2018 May 15 | C43-2 | 0.27 km | ~ 12h - 3h |
| 2018 June 15 | C43-1 | 0.15 km | ~ 14h - 5h |
| 2018 July 15 | C43-2 | 0.27 km | ~ 17h - 7h |
| 2018 August 15 | C43-3 | 0.46 km | ~ 18h - 8h |
| 2018 August 30 | C43-4 | 0.7 km | ~ 19h - 9h |
| 2018 September 15 | C43-5 | 1.1 km | ~ 20h - 10h |
Figure 1: Histograms of the percentage of time when the precipitable water vapor is below the observing thresholds adopted for the various ALMA bands. The PWV measurements were obtained by the APEX weather station between 2007 and 2016. Results are shown for nighttime (top) and daytime (bottom) observations assuming a source elevation of 60 deg.
Figure 2: Histograms of the anticipated amount of observing time available versus LST for the antenna configurations in Cycle 5. Also shown are histograms of the time available for Large Programs, as well as high frequency observations (Bands 8, 9, and 10) based on historical PWV data (see Figure 1). The data files containing these histograms are available here.
4. Information for Large Programs
Definition of a Large Program
Large Programs are defined as projects that request more than 50 hours of observations with the 12-m Array or more than 150 hours on the ALMA Compact Array (ACA, or the Morita Array) in stand-alone mode. Large Programs for the 12-m Array may include ACA for short-spacing observations as needed.
Large Programs can only request standard observing modes, which are discussed in the Cycle 5 pre-announcement, with the addition of 16 km baselines as indicated above. Requests for Target of Opportunity and time-critical observations are not permitted in Large Programs.
Time Available for Large Programs
In Cycle 5, it is anticipated that 4000 hours will be offered in total for the 12m Array and 3000 hours for the ACA. Up to 15% of this time may be allocated to Large Programs; i.e., 600 hours for the 12m Array and 450 hours for ACA stand-alone.
Review procedure
Large Programs are selected through a competitive peer-review process. The proposals for Large Programs are first reviewed along with regular proposals by the ALMA Review Panels (ARPs) with the appropriate topical expertise. The ARPs select which Large Programs should be forwarded to the ALMA Proposal Review Committee (APRC) for further review. The APRC will then recommend which Large Programs should be scheduled. Since the APRC consists of the Chairs of the individual review panels, with expertise ranging from solar physics to cosmology, the broad scientific community should recognize the scientific goals of a Large Program as important.
Review criteria
Large Programs will be evaluated based on:
1) Scientific merit
A Large Program should address strategic scientific issues that will lead to a major advance or breakthrough in the field, and be a coherent science project not reproducible by a combination of smaller regular proposals.
2) Technical feasibility
A Large Program should fully justify the requested sensitivity, correlator setup, and imaging requirements. The observations should be consistent with observatory best practices unless justified in the proposal.
3) Scheduling feasibility
A Large Program should be designed such that the observations can likely be completed within Cycle 5 given the antenna configuration schedule and weather constraints. Further guidance on scheduling feasibility is provided below.
4) Data products
A Large Program should describe the data products that will be produced to achieve their science goals. The project teams will be expected to deliver these data products to ALMA so that they can be made available to the community at large.
5) Management plan
A Large Program should present a management plan that describes a schedule of work, a description of the roles of the proposal team, a timeline to deliver data products to ALMA, and a plan to disseminate the results.
Scheduling Feasibility
To optimize the success in completing the observations within Cycle 5, the following scheduling constraints will be imposed when selecting Large Programs:
- The time allocated to Large Programs shall not exceed 33% of the available time for a given LST range on antenna configurations with baselines longer than 12 km (configurations C43-9 and C43-10).
- The time allocated to Large Programs shall not exceed 50% of the available time for a given LST range on configurations with baselines shorter than 12 km (ACA and C43-1 to C43-8).
The amount of observing time versus LST that is expected to be available for Large Programs based on these constraints can be assessed from Figure 2.
When evaluating the scheduling feasibility, PIs should assume that a source would be observed over an hour angle range of +/- 3 hours for declinations of δ < 32 deg. For sources with δ > 32 deg, PIs may assume sources would be observed while above an elevation of 20 deg.
Proposal format
The proposal format for Large Programs differs from regular ALMA proposals in two aspects:
1) Proposals for Large Programs are allotted two additional pages for a total of six pages, which can be used to further present the scientific justification and describe the scheduling feasibility, data products, and management plan. It is strongly suggested that proposals devote at least one page to describe the data products and management plan.
2) In addition to the Principal Investigator (PI) and co-Investigators, Large Programs may designate any number of co-Principal Investigators (co-PIs). The requested observing time will be split among the regions (North America, Europe, East Asia, and Chile) based on the proportionality of the Executive affiliation of the PI and co-PIs.
